TOP > バックナンバー > Vol.15 No.2 > ガソリンエンジンⅡ

Vol.15 No.2

ガソリンエンジンⅡ
野口 勝三
Katsumi NOGUCHI
本田技研工業株式会社/本誌編集委員
Honda Motor Co.,Ltd./JSAE ER Editorial Committee

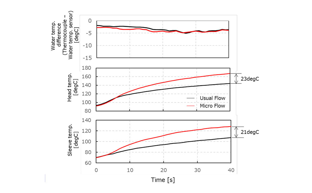
講演紹介(1)電動ウォータポンプを用いた極低流量冷却制御システムの研究

 小出ら(1)は、エンジンの暖機過程において、エンジン壁面温度上昇が得られる冷却水低流量領域を「極低流量領域」と定義した(図1)。当該領域の適用効果をシミュレーションにより推定すると共に、実機検証を行っている。冷機状態での極低流量領域に期待される燃費効果は、以下の三つで構成されるという。

  1. 燃焼室壁面温度上昇による燃費改善(BSFCの改善)
  2. 電動ウォータポンプの消費電力低減
  3. 水温上昇によるデバイスの作動早期化
 図2にWLTCモード走行におけるシミュレーション燃費効果と実機実測値の比較を示す。BSFCの低減効果、および電動ウォーターポンプの省電力効果は推定と実測で一致し、シミュレーション燃費効果の推定が検証された。しかしながらデバイスの作動早期化効果は、実機検証では確認されず、課題が抽出されたとの報告が有った。この研究成果は、今後のエンジン冷却システム設計において、重要な知見となると考えられる。

講演紹介(2)排気管内ポスト酸化現象の解明とモデリング検証

 石川ら(2)は、ガソリンエンジンの燃料噴射方式の違いや、冷間条件における排気管内でのポスト酸化特性の調査を行った。さらに1Dシミュレーションを用いてポスト酸化の定量的な評価を実施し、モデルの有効性を示している。図3には、各計測ポジションにおける排ガス温度と排ガス成分が示されている。DIとPFI②(点火リタード)は、下流に進むにつれてTHC/COの減少と同程度の温度上昇幅があることから、同程度のポスト酸化が得られていることが分かるという。また、冷間条件においても、ポスト酸化に必要な未燃成分と酸素、および点火リタードなどにより十分な排気温度を確保することで、ポスト酸化を発生できると説明した。図4に触媒ライトオフシミュレーション結果を示す。破線が既存のエンジンモデルで、実線が今回未燃炭化水素の酸化過程を追加した結果である。Case3では、ポスト酸化による発熱が大きく、未燃成分THCの減少が確認されている。モデルの有効性が示されており、触媒ライトオフへの活用に有益であると考えられる。

×

この記事(あるいはこの企画)のご感想、ご意見をお聞かせください。
今後のコンテンツづくりの参考にさせていただきます。

コメントをお寄せいただきありがとうございました。

職種

職種を選択してください

コメント

コメントを入力してください

閉じる
閉じる
【参考文献】
(1) 小出 景二郎、村上 貴史、吉田 豊、菅沼 将洋、佐々木 直人:電動ウォーターポンプを用いたガソリンエンジン向け極低流量冷却制御システムの研究、自動車技術会2024年秋季大会学術講演会講演予稿集、No.20246096
(2) 石川 輝明、窪山 達也、森吉 泰生:ガソリンエンジンにおける排気管内ポスト酸化現象の解明とモデリング検証、自動車技術会2024年秋季大会学術講演会講演予稿集、No.20246097